

示波器內的差分放大器?級增益-云帆興燁
示波器內的差分放大器級增益
要計算互補共源共柵級的差分電壓增益,請注意Q4274和Q4284的發射極增量(或小信號)電阻(分流均為825Ω的電阻R4271和R4281)要小得多,因此大多數ΔIC(即來自Q4258和Q4268的增量電流)流經Q4274和Q4284,在負載電阻R4273和R4283(均為499Ω)兩端產生電壓。825Ω電阻的目的是為共基級提供發射極偏置電流。級增益主要由集電極負載電阻和發射極電阻R4254決定:
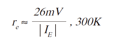
其中上下電壓由下標u和l表示。它們的區別在于輸入和輸出差分電壓。放大器的上側和下側都會影響總增益,所以在Av的BJT增益前面x2。因為RE(R4254)非常接近BJT的動態發射極電阻re,所以更好的增益近似是在增益方程的分母中將RE增加2 x re,其中:
Av?-12.9,每個BJT的發射極電流為3.72mA。負載電阻下一級輸入阻抗的加載以及兩個共源共柵BJT的電流損耗α被忽略。你覺得放大器設計師想要獲得-10的增益嗎?
結語
全差分單片放大器已經面世多年,例如ADI AD8138,用于驅動高分辨率ADC和其它高性能(高速和高精度)放大器應用。其實,它們的前身已經在示波器中使用了幾十年。測量儀器電路中是否還有其它好的單片放大器產品可能被半導體公司挖掘出來?